基因敲除(KO)效率

如图所示:分别在293T细胞的RAB11A 星空官网,TRAC位点通过电转的方式进行基因敲除。
结果表明:GenScript Ultra NLS-Cas9具有与竞品等同的敲除效率。
基因敲入(KI)效率

如图所示:在Jurkat细胞的RAB11A位点通过电转的方式进行dsDNA的敲入。
结果表明:GenScript Ultra NLS-Cas9具有与竞品几乎等同的基因敲入效率。
目录产品 » GenCRISPR™/Cas9 基因编辑相关产品
CRISPR/Cas9是一种强大的基因编辑工具,利用CRISPR/Cas9的高效编辑能力,可以实现在任何细胞系中,对任何靶基因进行特异性地敲除,插入,上调/下调以及突变 星空全站体育app。
星空体彩app官方拥有CRISPR/Cas9基因编辑系统相关的多种高质量产品,包括质粒,蛋白,RNA等 星空手机网页版,我们将不断扩大基因编辑产品系列,降低基因编辑的技术门槛,同时提供标准产品和Ultra两个系列的产品,满足不同实验需求,让基因编辑更简单,亦可提供GMP级蛋白,满足申报需求, 。
产品选择和使用指导Hot!
实验类型 | 推荐系列 | 产品编号 | 产品名称 | 应用特色介绍 |
---|---|---|---|---|
基因敲除和敲入
(Knock out and knock-in) |
核定位信号优化的野生型SpCas9 | Z03702 | GenCRISPR™ Cas9 v1.2 | 修饰后的NLS能提高入核效率,在敲除和敲入实验中优势显著 |
GMPZ03702 | GenCRISPR™ Cas9 v1.2-GMP( 即将上线 ) | |||
低脱靶效率
(Low off-target) |
突变型 eSpCas9 |
Z03622 | GenCRISPR™ Ultra eSpCas9-2NLS-Research | eSpCas9和野生型Cas9相比,编辑效率相当,脱靶效率更低 |
Z03624-GMP | GenCRISPR™ Ultra eSpCas9-2NLS-GMP | |||
荧光观察/
流式分选 |
带GFP标签的 Cas9 | Z03393 | GenCrispr NLS-Cas9-EGFP Nuclease | 低浓度(1mg/ml) &中浓度(3mg/ml) |
Z03467 | GenCrispr NLS-Cas9-EGFP Nuclease | 高浓度(10mg/ml) | ||
体外切割 | 无NLS的野生型SpCas9 | Z03386 | GenCrispr Cas9 Nuclease | 体外双链DNA切割试验筛选gRNA |
单链DNA切割 | 野生型SpCas9的D10A突变体 | Z03390 | GenCrispr NLS-Cas9-D10A Nickase | 切割DNA产生单链切口,双gRNA引导显著降低脱靶效应 |
小分子量
体内递送 |
AsCas12a | Z03502 | GenCRISPR™ Cas12a (Cpf1) Nuclease | 分子量~150KDa,小于SpCas9(160KDa),方便递送,更易进入细胞和组织 |
LbCas12a | Z03753 | GenCRISPR™ LbCas12a Nuclease | ||
ErCas12a | Z03762 | GenCRISPR™ ErCas12a Nuclease | ||
SaCas9 | Z03699 | GenCRISPR™ SaCas9 2NLS Nuclease | 分子量~130KDa,小于SpCas9(160KDa),方便递送,更易进入细胞和组织 | |
RNA切割
|
Cas13a | Z03486 | GenCRISPR™ Cas13a (C2c2) Nuclease | Cas13a和crRNA特异性切割靶向RNA后会激活非特异性切割活性,能够任意切割单链RNA |
Z03742 | GenCRISPR™ LbuCas13a Nuclease | |||
先导编辑New! | PE2 | RC00004 | GenCRISPR™ PE2 | 新型基因编辑技术,不产生双链断裂 |
PEmax | RC00005 | GenCRISPR™ PEmax | ||
PEmax △ RNaseH | RC00003 | GenCRISPR™ PEmax RNaseH deletion | ||
PE6b | RC00006 | GenCRISPR™ PE6b | ||
PE6c | RC00007 | GenCRISPR™ PE6c | ||
PE6d | RC00008 | GenCRISPR™ PE6d | ||
PE7 | RC00009 | GenCRISPR™ PE7 | ||
单碱基编辑New! | ABE8e | RC00010 | GenCRISPR™ ABE8e | 专注于单个碱基的转换 |
Ultra系列New!
GenCRISPR™ Ultra Cas9 产品线包含Research级别核酸酶,同时可提供遵循GMP指导原则下生产的Cas9蛋白 星空全站体育,且已通过FDA DMF备案,满足IND,BLA/NDA 等申报,提高审批效率, 。
Ultra系列的特点
<10 EU/mg
无金属残留
10 mg/ml
批间差小
KO&KI
产品编号 | 名称 | 数量 | 价格 | 操作 |
---|---|---|---|---|
Z03621
|
GenCRISPR™ Ultra NLS-Cas9-Research |
|
¥8900.00 |
|
Z03622
|
GenCRISPR™ Ultra eSpCas9-2NLS-Research |
|
¥6400.00 |
|
Z03623-GMP
|
GenCRISPR™ Ultra NLS-Cas9-GMP |
|
- |
|
Z03624-GMP
|
GenCRISPR™ Ultra eSpCas9-2NLS-GMP |
|
- |
|
Z03699
|
GenCRISPR™ SaCas9 2NLS Nuclease |
|
¥1600.00 |
|
应用案例
基因敲除(KO)效率
如图所示:分别在293T细胞的RAB11A 星空官网,TRAC位点通过电转的方式进行基因敲除。
结果表明:GenScript Ultra NLS-Cas9具有与竞品等同的敲除效率。
基因敲入(KI)效率
如图所示:在Jurkat细胞的RAB11A位点通过电转的方式进行dsDNA的敲入。
结果表明:GenScript Ultra NLS-Cas9具有与竞品几乎等同的基因敲入效率。
如图所示:在293T细胞的OT1和OT2位点进行基因敲除测试 星空注册,GenScript提供的Ultra eSpCas9产品在细胞系中进行基因敲除测试,展现出比竞品更低的脱靶效率。
如图所示:在使用GenScript提供的eSpCas9做基因敲入时 星空下载,dsDNA模板对于KI时TRAC位点敲除效率的影响相对SpCas9较小, 。
如图所示:不同批次的GenCRISPR™ Ultra NLS-Cas9的体外切割效率均高于95%,批间稳定性好 星空官方网站。
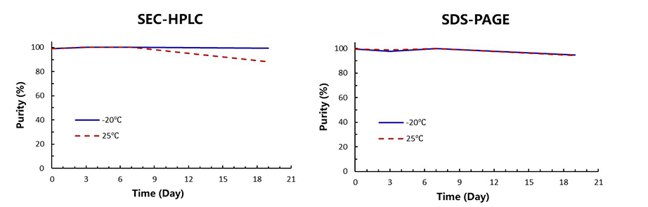
如图所示:GenScript Ultra NLS-Cas9在25℃条件下具有很好的热稳定性 星空体育在线,蛋白活性和纯度都没有明显损失。
标准产品
CRISPR/Cas9基因编辑系统主要由两部分组成:Cas9核酸酶和一个特性结合靶基因的导向RNA(gRNA),他们可以形成稳定的RNA蛋白复合物(RNP),此复合物引导核酸酶Cas9蛋白与gRNA配对的序列靶位点结合并剪切双链DNA,Cas9和gRNA组成的RNP复合物可以直接被导入到细胞内发挥作用 星空体彩app官方,不需要经过转录和翻译的过程,通过融合不同的蛋白结构域,CRISPR/Cas9以及其突变体已经被广泛运用到多种不同的基因编辑领域,除了常见的基因敲除和基因插入之外,还可以通过融合不同的转录因子来激活和抑制基因的表达,结合不同的荧光蛋白及标签用于染色体的定位和免疫沉淀等, 。
Cas9系列产品的优势
细胞外检测DNA切割效率
产品编号 | 名称 | 数量 | 价格 | 操作 |
---|---|---|---|---|
Z03386
|
GenCrispr Cas9 Nuclease |
|
¥288.00 |
|
Z03390
|
GenCrispr NLS-Cas9-D10A Nickase |
|
¥915.00 |
|
Z03393
|
GenCrispr NLS-Cas9-EGFP Nuclease |
|
¥915.00 |
|
NLS核定位信号被修饰的Cas9酶(用于基因敲入 星空全站体育app,提高基因编辑效率).
产品编号 | 名称 | 数量 | 价格 | 操作 |
---|---|---|---|---|
Z03702
|
GenCRISPR™ Cas9 v1.2 |
|
¥1600.00 |
|
单链切割Cas9酶(低脱靶)
产品编号 | 名称 | 数量 | 价格 | 操作 |
---|---|---|---|---|
Z03390
|
GenCrispr NLS-Cas9-D10A Nickase |
|
¥915.00 |
|
荧光标记的Cas9酶
产品编号 | 名称 | 数量 | 价格 | 操作 |
---|---|---|---|---|
Z03393
|
GenCrispr NLS-Cas9-EGFP Nuclease |
|
¥915.00 |
|
Z03467
|
GenCrispr NLS-Cas9-EGFP Nuclease |
|
¥1600.00 |
|
基因编辑相关产品
CRISPR/Cas13a
产品编号 | 名称 | 数量 | 价格 | 操作 |
---|---|---|---|---|
Z03486
|
GenCRISPR™ Cas13a (C2c2) Nuclease |
|
¥1600.00 |
|
Z03742
|
GenCRISPR™ LbuCas13a Nuclease |
|
¥1600.00 |
|
CRISPR/Cas12a
产品编号 | 名称 | 数量 | 价格 | 操作 |
---|---|---|---|---|
Z03502
|
GenCRISPR™ Cas12a (Cpf1) Nuclease |
|
¥915.00 |
|
Z03753
|
GenCRISPR™ LbCas12a Nuclease |
|
¥1600.00 |
|
Z03762
|
GenCRISPR™ ErCas12a Nuclease |
|
¥1600.00 |
|
基因编辑相关试剂盒
产品编号 | 名称 | 数量 | 价格 | 操作 |
---|---|---|---|---|
L00688
|
GenCrispr Mutation Detection Kit |
|
¥2100.00 |
|
L00689
|
GenCrispr sgRNA Screening Kit |
|
¥1992.00 30 reactions |
|
相关酶
产品编号 | 名称 | 数量 | 价格 | 操作 |
---|---|---|---|---|
Z03396
|
GenCrispr T7 Endonuclease I |
|
¥550.00 |
|
相关抗体
产品编号 | 名称 | 数量 | 价格 | 操作 |
---|---|---|---|---|
A01885
|
GenCrispr Cas9 Antibody, pAb, Rabbit |
|
¥790.00 |
|
A01935
|
GenCRISPR™ SpCas9 Antibody (4A1), mAb, Mouse |
|
¥990.00 40 μg |
|
A01936
|
GenCRISPR™ SpCas9 Antibody (14B6), mAb, Mouse |
|
¥990.00 40 μg |
|
A01951
|
GenCRISPR™ SaCas9 Antibody (11C12), mAb, Mouse |
|
¥990.00 40 μg |
|
A01952
|
GenCRISPR™ SaCas9 Antibody (26H10), mAb, Mouse |
|
¥990.00 40 μg |
|
先导编辑
单碱基编辑
产品编号 | 名称 | 数量 | 价格 | 操作 |
---|---|---|---|---|
RC00010
|
ABE8e |
|
¥1400.00 |
|