"星空注册" 1. 引物设计的基本原则是什么?

引物设计的下列原则供您参考:

  • 引物推荐在模板cDNA的保守区内设计。
  • 引物长度一般在15-30碱基之间。
  • 引物GC含量在40%-60%之间,Tm值推荐接近72℃。
  • 引物3'端要避开密码子的第3位。
  • 引物3'端不能选择A,推荐选择T。
  • 碱基要随机分布。
  • 引物自身及引物之间不应存在互补序列。
  • 引物5'端和中间△G值应该相对较高,而3'端△G值较低。
  • 引物的5'端可以修饰,而3'端不可修饰。
  • 扩增产物的单链不能形成二级结构。
  • 引物应具有特异性。

2. 常用引物设计软件有哪些?

常用的软件有Oligo 6和Primer Premier 5,0。引物设计软件是根据引物设计的指导意见设计而成。其实,PCR扩增的成败最关键的是反应模板的制备和反应条件的控制。引物设计软件的缺点是,有时判断为该基因没有一段区域满足标准引物的要求。 星空全站体育app

星空体彩app官方为您提供以下引物设计相关软件:

3. 文献上找到的引物和探针序列能否直接使用?

通常国外的文献可信度比较高,可直接使用,但为了保险起见,推荐用blast对引物探针的序列进行必要的验证,或者再进一步用引物设计软件对引物探针的二级结构和退火温度进行分析,这样更有利于您对整个实验的把握 星空全站体育

4. 如何计算引物的Tm值?

Tm值的概念:DNA熔解温度,指把DNA的双螺旋结构降解一半时的温度,亦即DNA变性过程中 星空官网,紫外吸收值达到最大值的50%时的温度称为DNA的解链温度(Tm)。

星空体彩app官方采用以下方法计算Tm值: 长度为20mer及以下的引物,Tm计算公式为:Tm=4℃(G+C)+2℃(A+T)。但这个公式只适用于14~20个碱基的引物,引物的TM值还与引物长度、碱基组成、引物使用缓冲溶液的离子强度等有关。 对于更长的寡聚核苷酸,Tm计算公式为:Tm=0,41(% of GC)–675/L+81,5 注:L:引物碱基数;% of GC:引物GC含量;% of GC=GC个数/引物总碱基数 星空体育登录

星空体育登录 - 5. 常见的引物修饰的有哪些?

修饰 说明

磷酸化(Phosphorylation)

5'磷酸化可用于接头、克隆和基因构建以及连接酶催化的连接反应。3'磷酸化可抗3'外切酶消化的相关实验中,也用于阻止DNA聚合酶催化的DNA链延伸反应。

生物素(Biotin)

引物生物素标记,可用于非放射性免疫分析来检测蛋白质、胞内化学染色、细胞分离、核酸分离、杂交检测特异性的DNA/RNA序列、离子通道构象变化等。

地高新(Digoxigenin)

地高新经由一个11个原子的间臂连接到脲嘧啶的C5位置,杂交的地高新探针可以由抗地高新抗体来检测。地高新标记的探针可用于各种杂交反应,如DNA-DNA杂交(Southern blotting)、DNA-RNA杂交(Northern blotting)、斑点杂交(Dot blotting)、克隆杂交、原位杂交以及酶联免疫分析(ELISA)。

内部氨基修饰

主要用C6-dT aminolinker来加到胸腺嘧啶残基上来进行内部修饰。修饰后氨基与主链相距10个原子距离,可用于进一步的标记和酶连接(如碱性磷酸酶),目前提供内部氨基修饰介导的dT-Dabcyl、dT-Biotin和dT-Digoxingenin 修饰。

5'氨基修饰

可用于制备功能化的寡核苷酸,广泛应用在DNA芯片(DNA Microarray)和多重标记诊断系统。目前提供5'C6氨基修饰和5'C12氨基修饰两种,前者可用于连接一些即便靠近寡核苷酸也不会影响其功能的化合物,后者用于亲和纯化基团的连接和一些荧光标记,尤其是当荧光可能会因标记太靠近DNA链而被淬灭时。

3'氨基修饰

目前提供3'C6氨基修饰。它可用于设计新的诊断探针和反义核苷酸,例如5'端可用高度敏感的32P或荧光素标记的同时3'可用氨基修饰以进行其他的连接。此外,3'修饰可以抑制3'外切酶酶解,从而可用于反义实验。

巯基(Thiol)

5'-巯基在很多方面与氨基修饰类似。巯基可用于加附各种修饰如荧光标记物和生物素。例如可以在碘乙酸和马来酰亚胺衍生物存在下来制作巯基连接的荧光探针。5'的巯基修饰主要用5'巯基修饰单体(5'-Thiol-Modifier C6-CE Phosphoramidite或Thiol-Modifier C6 S-S CE Phosphoramidite)。用5'-Thiol-Modifier C6-CE单体修饰后必须进行硝酸银氧化以去除保护基(trityl),而Thiol-Modifier C6 S-S CE单体修饰后须用DTT将二硫键还原成巯基。

间臂(Spacer)

Spacer可为寡核苷酸标记提供必要的间隔以减少标记基团与寡核苷酸间的相互作用,主要应用于DNA发夹结构和双链结构研究。C3 spacer主要用于模仿核糖的3'和5'羟基间的三碳间隔,或“替代”一个序列中未知的碱基。3'-Spacer C3用于引进一个3'间臂从而阻止3'端外切酶和3'端聚合酶发挥作用。Spacer 18常用于引进一个强亲水基团。

硫代(Phosphorthioate)

硫代修饰的寡核苷酸主要用于反义实验中防止被核酸酶降解。您可以选择全硫代,但随着硫代碱基的增加,寡核苷酸的Tm值会降低,为了降低这种这种影响,可以对引物两端2-5个碱基进行硫代修饰,通常可以选择5'和3'各3个碱基进行硫代修饰。

脱氧脲嘧啶(DeoxyUridine,dU)

脱氧脲嘧啶可以插进寡核苷酸来增加双链的熔点温度从而增长双链的稳定性。每个脱氧胸腺嘧啶被脱氧脲嘧啶替代可以增长双链熔点温度1.7℃。

脱氧次黄嘌呤(deoxyInosine,dI)

脱氧次黄嘌呤是一个自然存在的碱基,虽然不是真正意义上的通用碱基,但当与其它碱基结合时,会比其它碱基错配相对更稳定。脱氧次黄嘌呤与其它碱基的结合能力为dI:dC>dI:dA>dI:dG>dI:dT.在DNA聚合酶的催化下,脱氧次黄嘌呤优先与dC结合。

6. 为什么修饰引物的产量要比一般引物低,价格要高?

主要因为是修饰单体稳定性较差,偶联时间长,效率低,最后得到的产量自然低于一般的引物 星空平台,修饰引物通常需要PAGE或HPLC纯化,纯化过程损失大,修饰引物使用的原料是一般引物原料的几百倍,所以产品的价格自然高。

7. 合成的荧光标记探针应如何保存?

荧光探针保存方法如下:

  • 1)荧光探针必须避光保存。
  • 2)干品可于-80℃保存一年以上,如无条件,请于-20℃保存。
  • 3)强烈建议用RNase-free的TE(pH8.0)buffer溶解探针,这样得到的探针溶液更稳定,保存时间更长。通常,将探针配制成100pmol/μl的储备液,分装成几份(每份最多反复冻融5次),于-20℃保存。使用前,将配制好的储备液稀释成工作液(10pmol/μl或20pmol/μl),剩余部分于-20℃保存。

8. 常见的荧光染料有哪些?

荧光染料参数

缩写 全名 吸收波长 发射波长 颜色
6-FAM 6-carboxy-fluorescein 494nm 518nm Green
TET 5-tetrachloro-fluorescein 521nm 538nm Orange
HEX 5-hexachloro-fluorescein 535nm 553nm Pink
TAMRA tetramethyl-6-carboxyrhodamine 560nm 582nm Rose
ROX 6-carboxy-x-rhodamine 587nm 607nm Red
Cy3 Indodicarbocyanine 552nm 570nm Red
Cy5 Indodicarbocyanine 643nm 667nm Violet

9. FITC与FAM的区别是什么?

5-FAM,6-FAM 星空体育网页版,FITC标记都是荧光素标记(Fluorescein),5-FAM与6-FAM互为异构体,它们的发色团均为荧光素,通常使用中没有区别。

precast gel

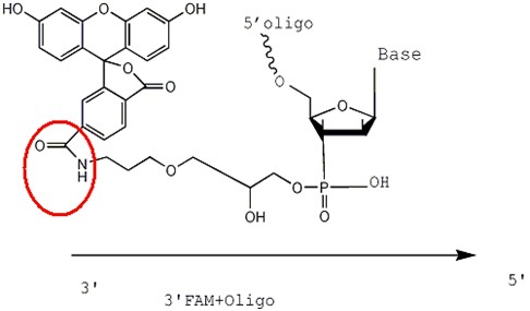
3'FAM-CPG原料的结构式

precast gel

FITC原料结构式

FAM通过酰胺键与Oligo连接,而FITC通过硫脲键与Oligo连接 星空注册,FITC上的-SCN与-NH2反应过程如下:.

下图是3'FITC和3'FAM与引物连接后的效果图,5'FAM和5'FITC的连接方式与此相同 星空下载

10. 淬灭基团为TAMRA、Eclipse或BHQ系列染料的双标记荧光探针在使用上有什么不同?

由淬灭基团TAMRA,Eclipse或BHQ系列染料组成的双标记荧光探针常常被用作水解探针(Hydrolysis Probes),或称TaqMan探针,用于实时荧光定量PCR实验, 1)TAMRA为荧光染料,在淬灭报告基团的同时,会在更高波长处发射荧光,而Eclipse及BHQ系列为非荧光染料,淬灭报告基团时,自身不发射荧光,探针荧光本底比TAMRA低,检测灵敏度更高, 2)TAMRA的吸收光谱覆盖范围窄,可与之匹配的报告基团种类比较少,而Eclipse则具有更宽的吸收范围(390nm-625nm),可淬灭的报告基团种类很多,如FAM,HEX,TAMRA,ROX等均可,组合使用的BHQ系列染料的吸收光谱覆盖范围则更广,从430nm一直到近红外,可淬灭的报告基团种类更多 星空官方网站,包括Cy3,Cy5等,因此可由Eclipse或BHQ系列染料组成一套双标记荧光探针用于多重PCR, 。

星空全站体育app - 11. TaqMan探针设计的基本原则是什么?

下列原则可供您参考:

  • 1)TaqMan探针位置尽可能靠近扩增引物(扩增产物50-150bp),但不能与引物重叠。
  • 2)长度一般为18-40mer。
  • 3)G-C含量控制在40-80%左右。
  • 4)避免连续相同碱基的出现,特别是要避免GGGG或更多G出现。
  • 5)在引物的5'端避免使用G。
  • 6)选用比较多的碱基C。
  • 7)退火温度Tm控制在68-70℃左右。

12. 修饰标记对OD值的测量有影响吗?

有些荧光基团在260nm处也有吸收光,例如FAM,HEX,TAMRA,TET 星空体育在线,其它在260nm处可能也有吸收值,但是数据没有公布,因此计算时不包括在里面。

13. 磷酸化是怎么回事?

5'磷酸化作用是通过B-氰乙基化学反应添加到引物5'端的糖环上,而不是最后一个碱基上;3'磷酸盐被连接到固体支持介质上,所以在合成的第一个循环,碱基就与它偶联。3'磷酸化修饰具有阻止聚合酶延伸的功能。

14. Phospothioate(S-oligos)硫代引物和普通的引物有什么区别? (星空体彩app官方)

S-oligos是寡核苷酸中的单核苷酸之间的磷酸二酯键中的一个氧被硫代替后形成的。这种修饰是在连接的时候进行的(不是在合成后进行的)。碱基被添加上后,再进行连接修饰。在两个碱基之间的磷酸可以转换成双键“S”(用硫代试剂)代替普通的双键“0”(用碘溶液),和磷酸二酯键相连的碱基都可以进行这种修饰。
但3'末端碱基不能进行硫代磷酸化修饰,因为从固体支持物上解离下来时,磷酸酯键不存在了,3'末端碱基是OH。我们可以提供对S-oligo进行5'修饰,如客户可以定制S-oligo的荧光素标记。S-oligo和普通的寡核苷酸在PAGE胶上的位置是一样的。

"星空体育网页版" 15. 氨基修饰的原理是什么?注意事项是什么?

5'Aminolinker(C6)是在合成循环的最后一步以亚磷酸胺的形式通过B-氰乙基化学反应添加到引物5'糖环上的,而不是添加到最后一个碱基上。

5'氨基标准的偶联效率是>95%,氨基基团在260nm处是没有吸光值的;它在210nm处有吸光值。不能通过电泳检测它的存在(琼脂糖或丙烯酰胺)。

3'Aminolinker(C7)只与一些5'修饰兼容,如FAM, HEX, TET, Fluorescein, Biotin, Amine, and phosphate。其它的5'修饰(如Alexa dyes)需要氨基才能与寡核苷酸相连,这就无法避免该染料与3'氨基相连。

氨基修饰是很简单便宜的方法。任意一种氨基修饰都可以。5'末端C6类型效果很好。

16. HEX, TET or 6-FAM几种的区别是什么样的?

precast gel

HEX

precast gel

HEX

precast gel

HEX

FAM, HEX and TET是在合成循环结束时以亚磷酸胺的形式通过B-氰乙基化学作用添加上的,因此是添加到引物的5'末端的糖上而非引物的末端碱基。它们通过磷酸二酯键共价连接到5'端最末的糖环上。

在液体中的颜色:HEX是粉红色,FAM是黄色,TET是橙色

经过这些修饰的寡核苷酸不能进行硫代磷酸化修饰。

  MW Emission(nm) Excitation(Abs)Max(nm) Extinction(at max) Extinction(at 260)
FAM 554.5 517 494 74,850 20,960
TET 692.2 538 522 85,553 16,255
HEX 761.1 553 535 95,698 31,580

注:摩尔消光系数是在最大nm处的激发光下测得的。因为pH或成分的微小变化可能会影响以上的数据。

相关FAQ

订购信息